Research Paper Volume 3, Issue 2 pp 148—157

If started early in life, metformin treatment increases life span and postpones tumors in female SHR mice

class="figure-viewer-img"

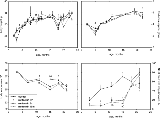
Figure 1. Age-related dynamics of body weight (A), food consumption (B), body temperature (C) and of the incidence of mice with irregular estrous cycles (D) in SHR mice not treated and treated with metformin starting at the age of 3, 9 or 15 months. The difference with the controls is significant, p<0.05: а- metformin 3 m; b - metformin 9 m; c - metformin 15 m)