Research Paper Volume 7, Issue 12 pp 1171—1182

DNA repair in species with extreme lifespan differences

class="figure-viewer-img"

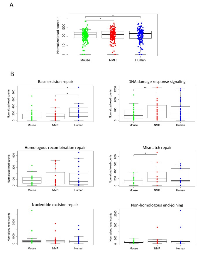
Figure 2. Higher expression of essential DNA repair genes in long-lived species.

(A) Expression of DNA repair genes is significantly higher in livers of naked mole rat (p= 0.0167) and human (p=0.0429) than mouse (Wilcoxon matched-pairs signed rank test). (B) For individual DNA repair pathways, human and NMR had higher expression of many essential repair proteins in liver. Human had significantly higher expression than mouse (p= 0.0010) and NMR (p=0.0039) of genes in the BER pathway (Wilcoxon matched-pairs signed rank test), and NMR had significantly higher expression than mouse (p= 0.0496) of genes involved in MMR (paired t test) and DDRS (p=0.0011, Wilcoxon matched-pairs signed rank test).