Research Paper Volume 8, Issue 1 pp 127—146

Age-related deficits in skeletal muscle recovery following disuse are associated with neuromuscular junction instability and ER stress, not impaired protein synthesis

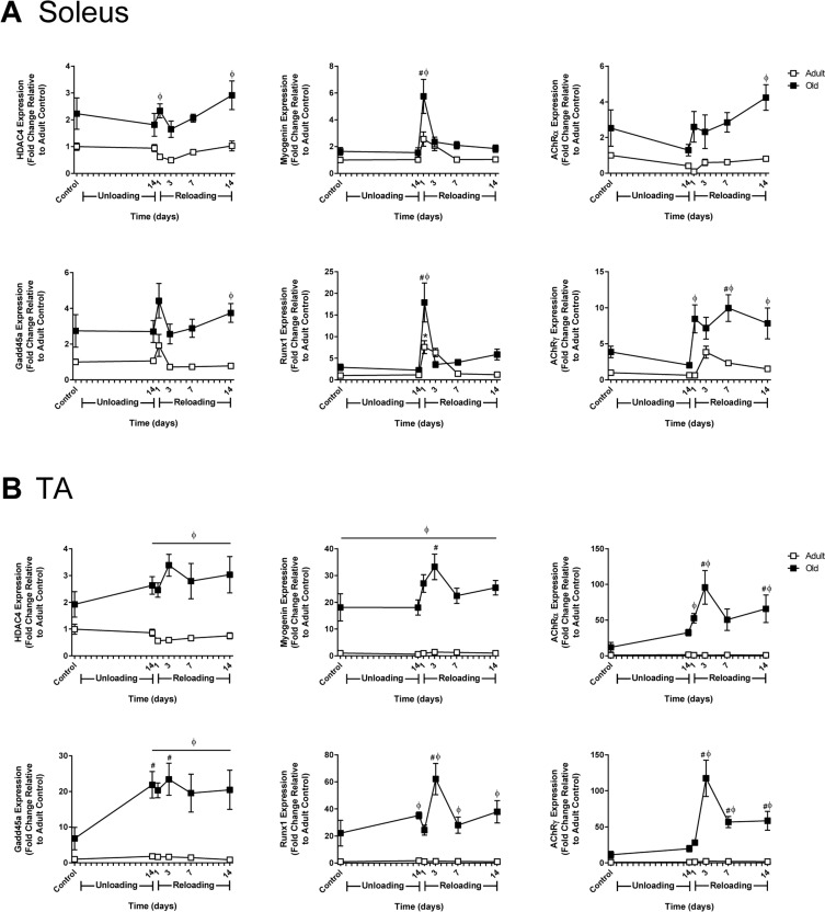
class="figure-viewer-img"

Figure 4. Effect of hindlimb unloading (HU) and reloading on gene expression markers of inactivity and/or denervation in adult and old rats. mRNA expression (fold change relative to adult control) of HDAC4, myogenin, Gadd45a, Runx1, and acetylcholine receptor subunits alpha (AChRα) and gamma (AChRγ) were measured in the soleus (A) and tibialis anterior (TA) (B) muscles of adult (9 mo, open squares) and old (29 mo, filled squares) rats after 14 days of HU and after 1, 3, 7, and 14 days of reloading (n=5-6/group). Values are mean ± SEM, *p<0.05 vs adult control, #p<0.05 vs old control, φp<0.05 vs adult at same time point.