Research Paper Volume 8, Issue 8 pp 1690—1702

Loss of oxidative defense and potential blockade of satellite cell maturation in the skeletal muscle of patients with cancer but not in the healthy elderly

class="figure-viewer-img"

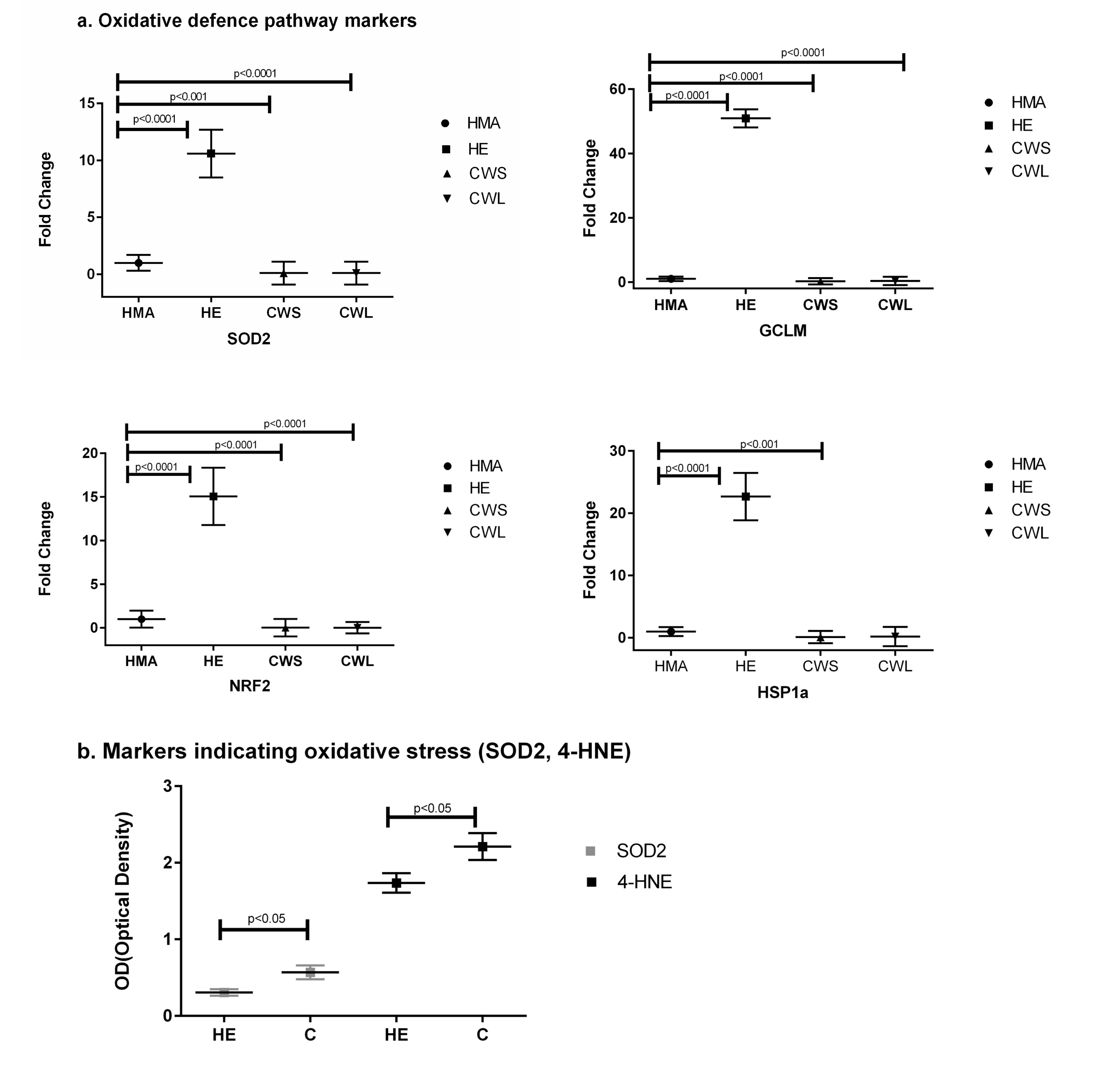
Figure 4. (a) Fold change (±SD) in mRNA expression of the oxidative defense genes SOD2, GCLM, and Nrf2 and the heat shock protein HSP1a in the Quadriceps muscle of C, HE and HMA groups: HMA (n=22), HE (n=17), CWS (n=18), CWL (n=9); Fold-change of mRNA expression is relative to HMA participants. Statistical analysis was carried out on deltaCT values. The mRNA expression of the oxidative defense gene SOD2 is increased in HE (p<0.0001) but decreased in CWS (p<0.001) and CWL (p<0.0001) compared with HMA. Expression of GCLM is also increased in HE (p<0.0001) but decreased in CWS (p<0.0001) and CWL (p<0.0001) compared with HMA. Nrf2 is decreased in CWS and CWL but increased in HE when compared with HMA (p<0.0001) and HSP1a is decreased in CWS (p<0.001) but increased in HE (p<0.0001) when compared with HMA. (b) Western Blot analysis of the cellular defensive pathway (SOD2, 4-HNE) in the Quadriceps muscle of C and HE groups. Data are means ± SEM from C (n=10) and HE (n=8) groups for SOD2 and C (n=9) and HE (n=8) for the hydroxyalkenal 4-HNE. The analysis demonstrates upregulation of both SOD2 and 4-HNE in C compared with HE (p<0.05).