Research Paper Volume 8, Issue 11 pp 2635—2654

Distinct patterns of simple sequence repeats and GC distribution in intragenic and intergenic regions of primate genomes

class="figure-viewer-img"

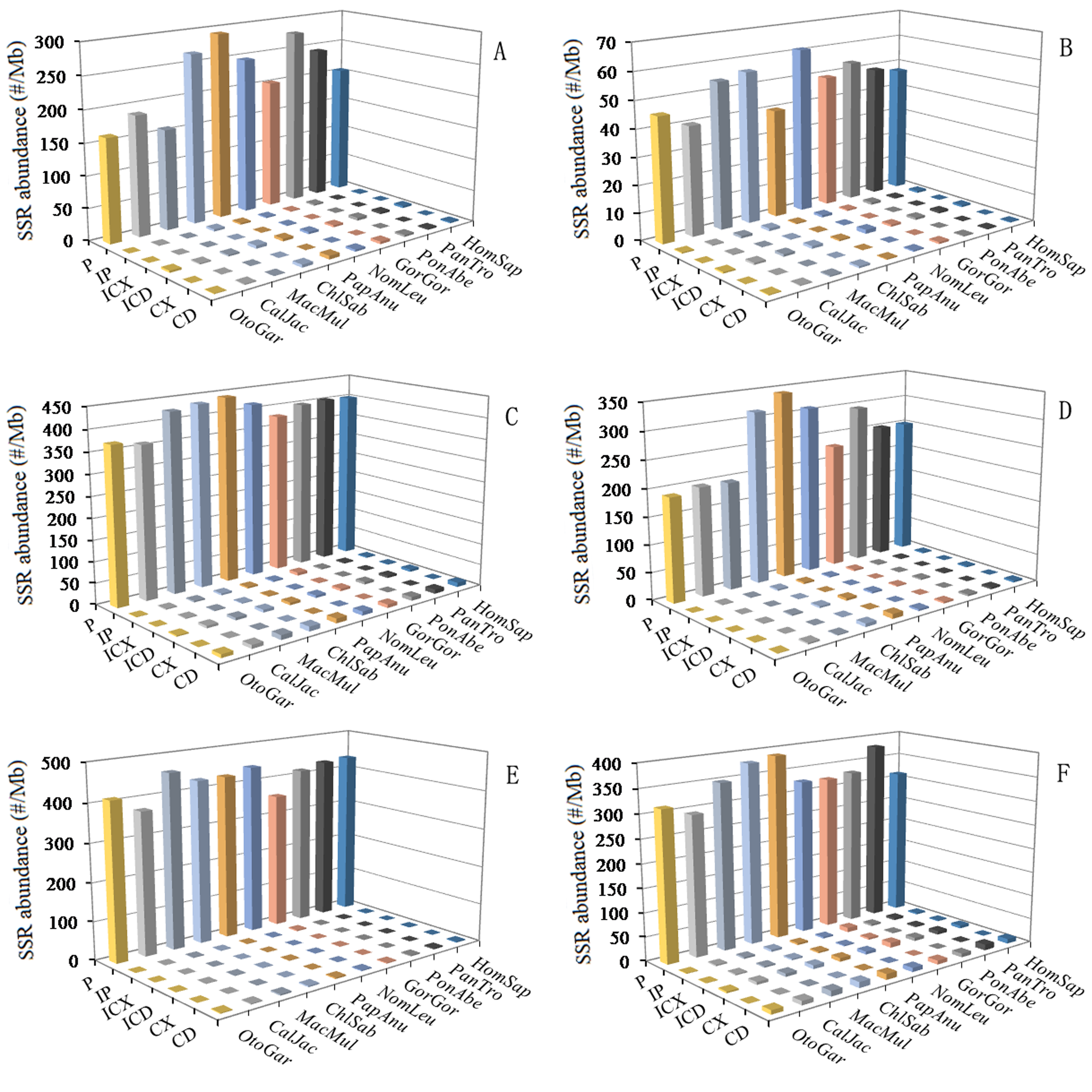
Figure 1. SSRs abundance of six categories in different intragenic and intergenic regions of primates. ABCDEF represent 5'UTRs, CDSs, introns, 3'UTRs, TEs, and intergenic regions, respectively.