Research Paper Volume 8, Issue 10 pp 2568—2589

Empirical verification of evolutionary theories of aging

class="figure-viewer-img"

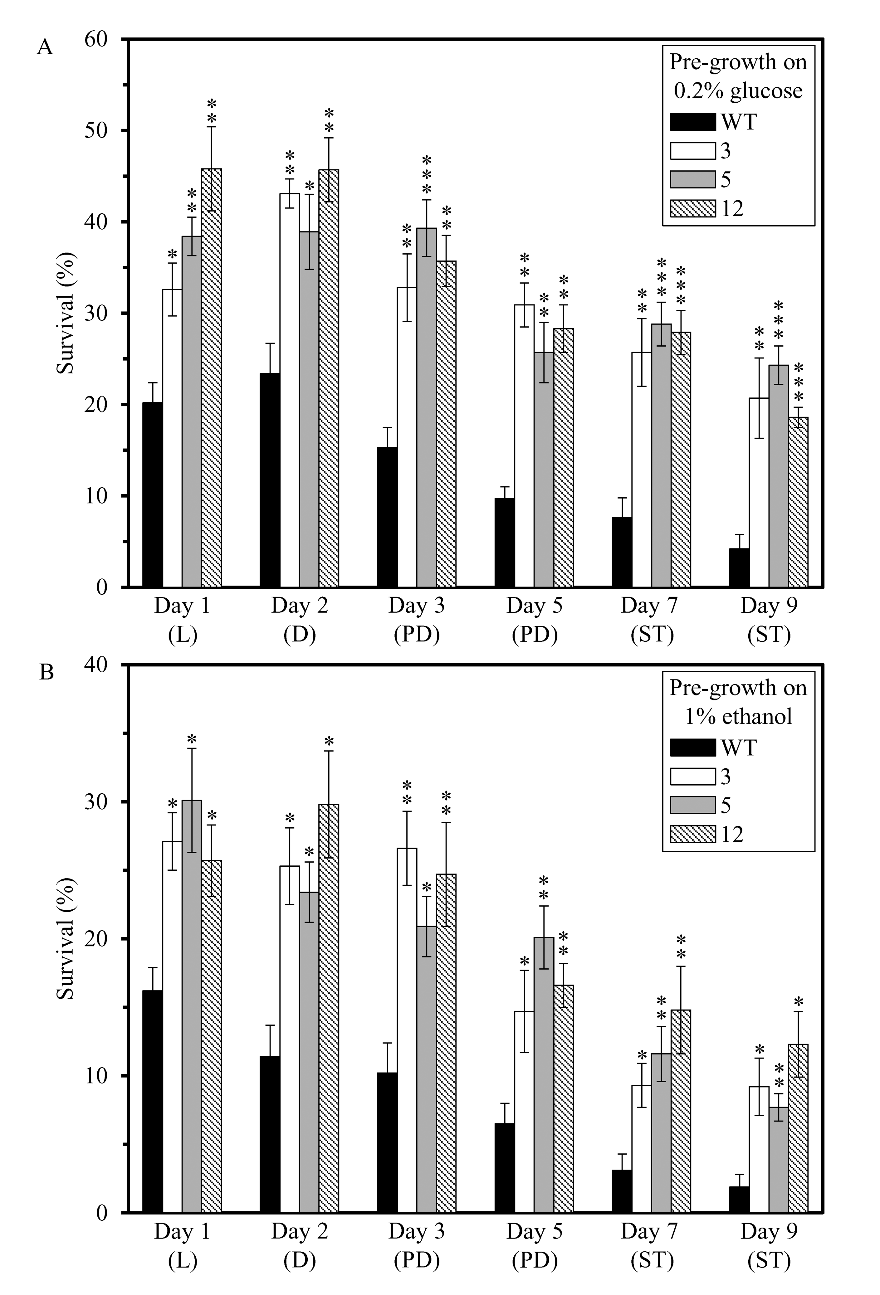
Figure 5. The long-lived mutant strains 3, 5 and 12 exhibit enhanced (as compared to the parental WT strain) susceptibilities to a liponecrotic form of cell death, one of the traits of early-life fitness. The parental WT strain BY4742 and long-lived mutant strains 3, 5 and 12 (each in the BY4742 genetic background) were cultured in YP medium initially containing 0.2% glucose (a fermentable carbon source; CR conditions) (A) or 1% ethanol (a non-fermentable carbon source) (B). Cell aliquots were recovered from various growth phases and then exposed for 2 h to 0.2 mM palmitoleic acid to induce liponecrosis. The % of viable cells was calculated as described in in the ″Materials and methods″ section. D, diauxic growth phase; L, logarithmic growth phase; PD, post-diauxic growth phase; ST, stationary growth phase. Data originate are presented as means ± SEM (n = 3; *p < 0.05; **p < 0.01; ***p < 0.001).