Research Paper Volume 11, Issue 19 pp 8217—8238

Association between bone mineral density and brain parenchymal atrophy and ventricular enlargement in healthy individuals

class="figure-viewer-img"

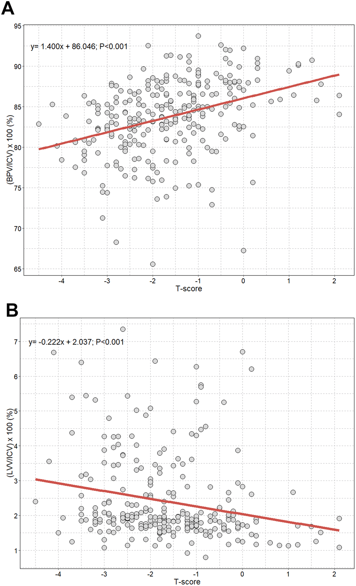
Figure 1. Scatterplot with linear regression line showing the association between T-score and volume percentages of brain parenchyma and lateral ventricles. (A) Volume percentage of brain parenchyma to intracranial cavity; (B) volume percentage of lateral ventricles to intracranial cavity. ICV=intracranial cavity volume: BPV=brain parenchymal volume; LVV=lateral ventricles volume.