Research Paper Volume 12, Issue 2 pp 1047—1086

CeRNA regulatory network-based analysis to study the roles of noncoding RNAs in the pathogenesis of intrahepatic cholangiocellular carcinoma

class="figure-viewer-img"

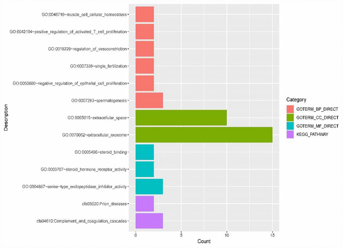
Figure 11. GO terms (including biological process (BP), cellular component (CC) and molecular function (MF)) and KEGG pathways involved in the construction of ICC-related ceRNETs of 44 DE mRNAs.