Research Paper Volume 12, Issue 4 pp 3190—3204

Development and validation of a nomogram to predict coronary heart disease in patients with rheumatoid arthritis in northern China

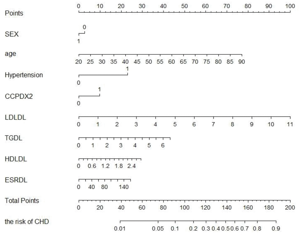
class="figure-viewer-img"

Figure 2. RA patients developed to CHD’s nomogram. The CHD nomogram was developed in the training cohort, with serum lipids, inflammatory markers, and serological status in RA patients. Abbreviation: LDL, low-density lipoprotein cholesterol; TC, total cholesterol; TG, triglycerides; HDL, high-density lipoprotein cholesterol; RF+, positive rheumatoid factor; CRP, C-reactive protein; Anti-CCP-positive, positive anti-cyclic citrullinated peptide antibody; ESR, erythrocyte sedimentation rate.