Research Paper Volume 12, Issue 9 pp 7830—7847

Intrarenal arteriosclerosis and telomere attrition associate with dysregulation of the cholesterol pathway

class="figure-viewer-img"

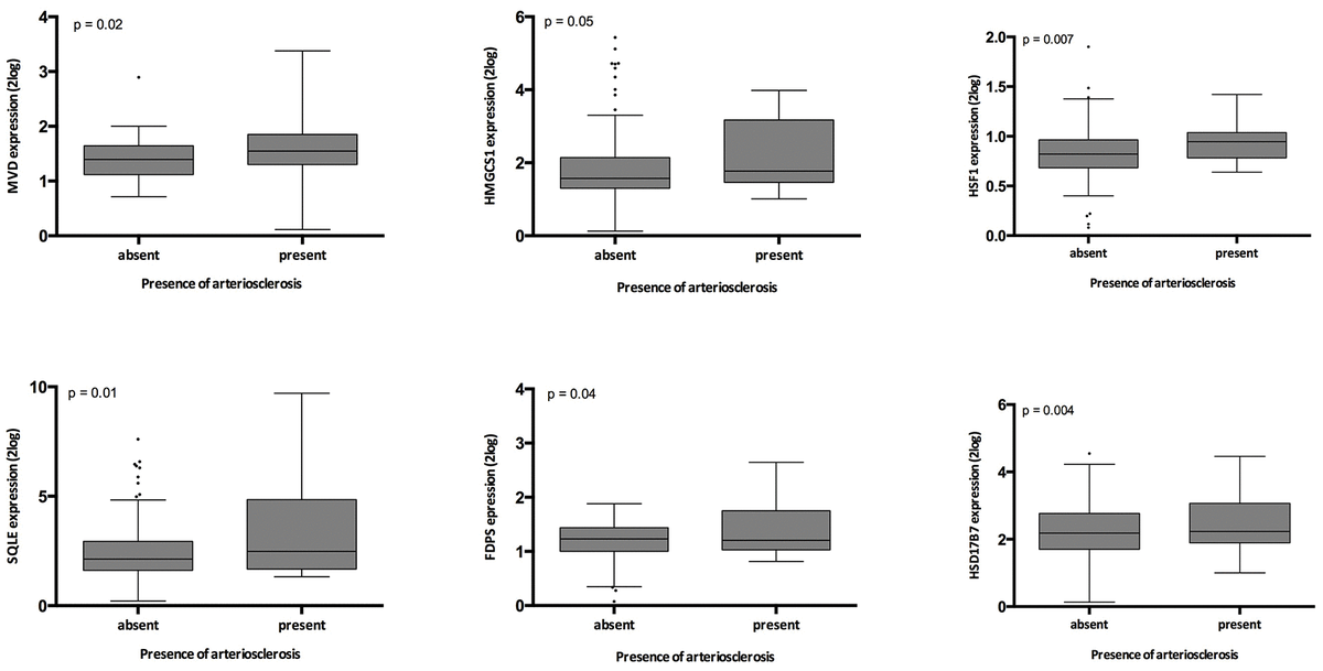
Figure 4. Relation between intrarenal arteriosclerosis and gene expression in the validation cohort. The p-values represent non-parametric ANOVA. The horizontal lines within the boxes indicate means, the upper and lower ends of the boxes indicate standard deviations, and the whiskers indicate 95th percentiles.