Research Paper Volume 12, Issue 14 pp 14528—14541

Plasma sex hormone-binding globulin predicts neurodegeneration and clinical progression in prodromal Alzheimer's disease

class="figure-viewer-img"

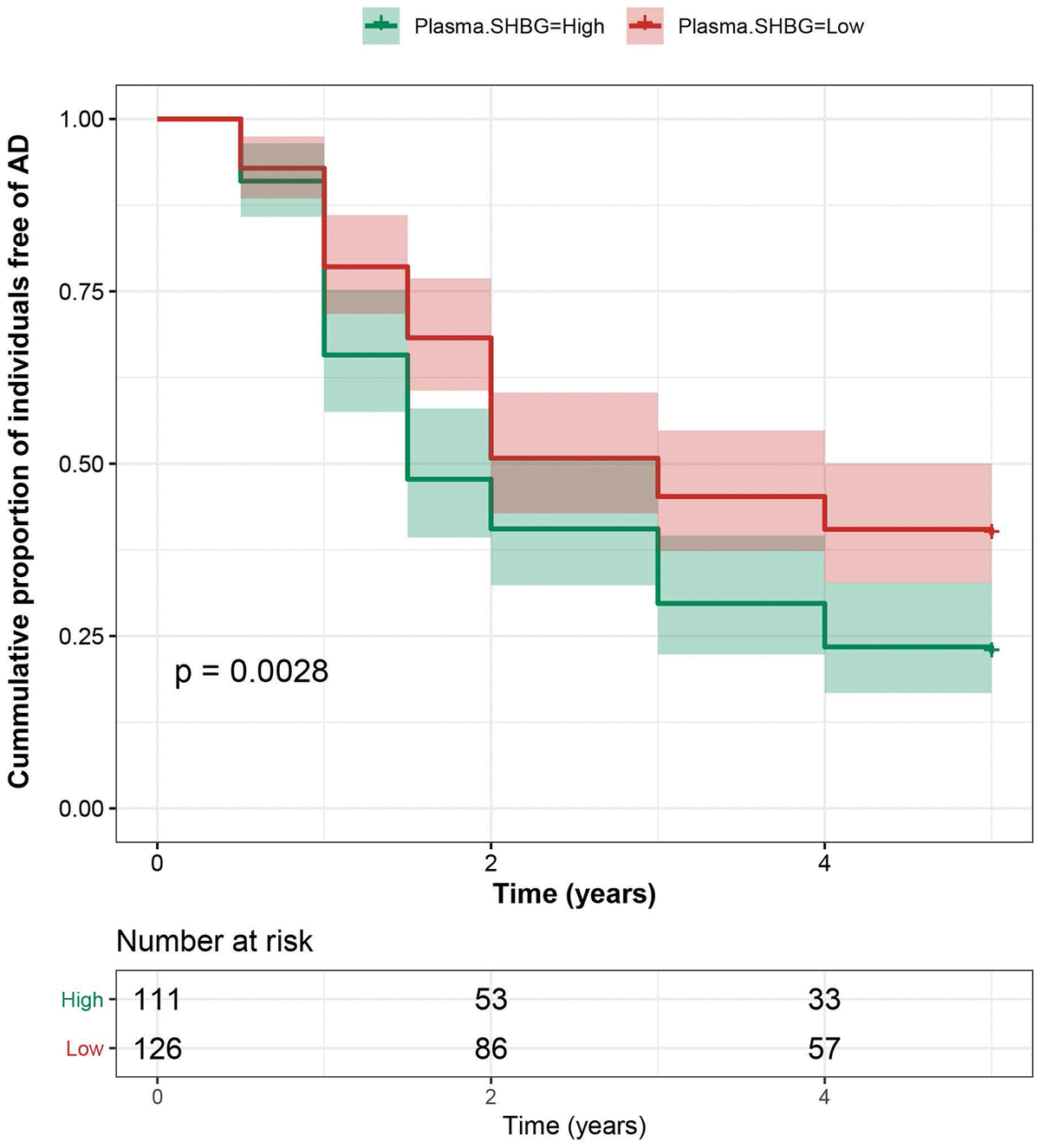
Figure 3. Association between plasma SHBG and AD risk. Subjects with higher plasma SHBG had an increased risk of developing AD, independent of age, sex, education, APOE genotype, and diagnosis.