Research Paper Volume 13, Issue 2 pp 2459—2479

Identification of long non-coding RNA signatures for squamous cell carcinomas and adenocarcinomas

class="figure-viewer-img"

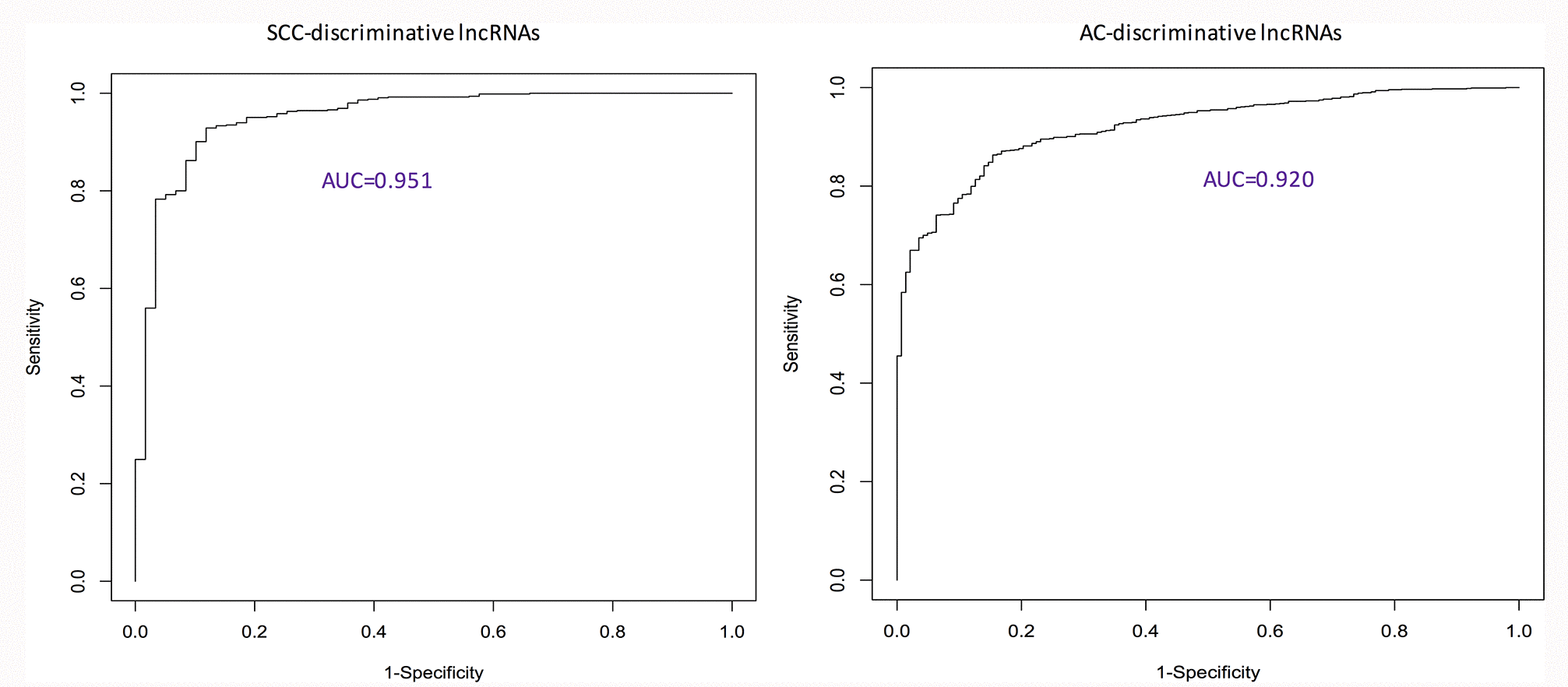
Figure 1. ROC curves showing the performance of identified discriminative lncRNA lists. AC: adenocarcinoma; AUC: area under the ROC curve; ROC: receiver characteristic operator; SCC: squamous cell carcinoma.