Research Paper Volume 13, Issue 12 pp 16577—16599

Identification of differentially expressed genes-related prognostic risk model for survival prediction in breast carcinoma patients

class="figure-viewer-img"

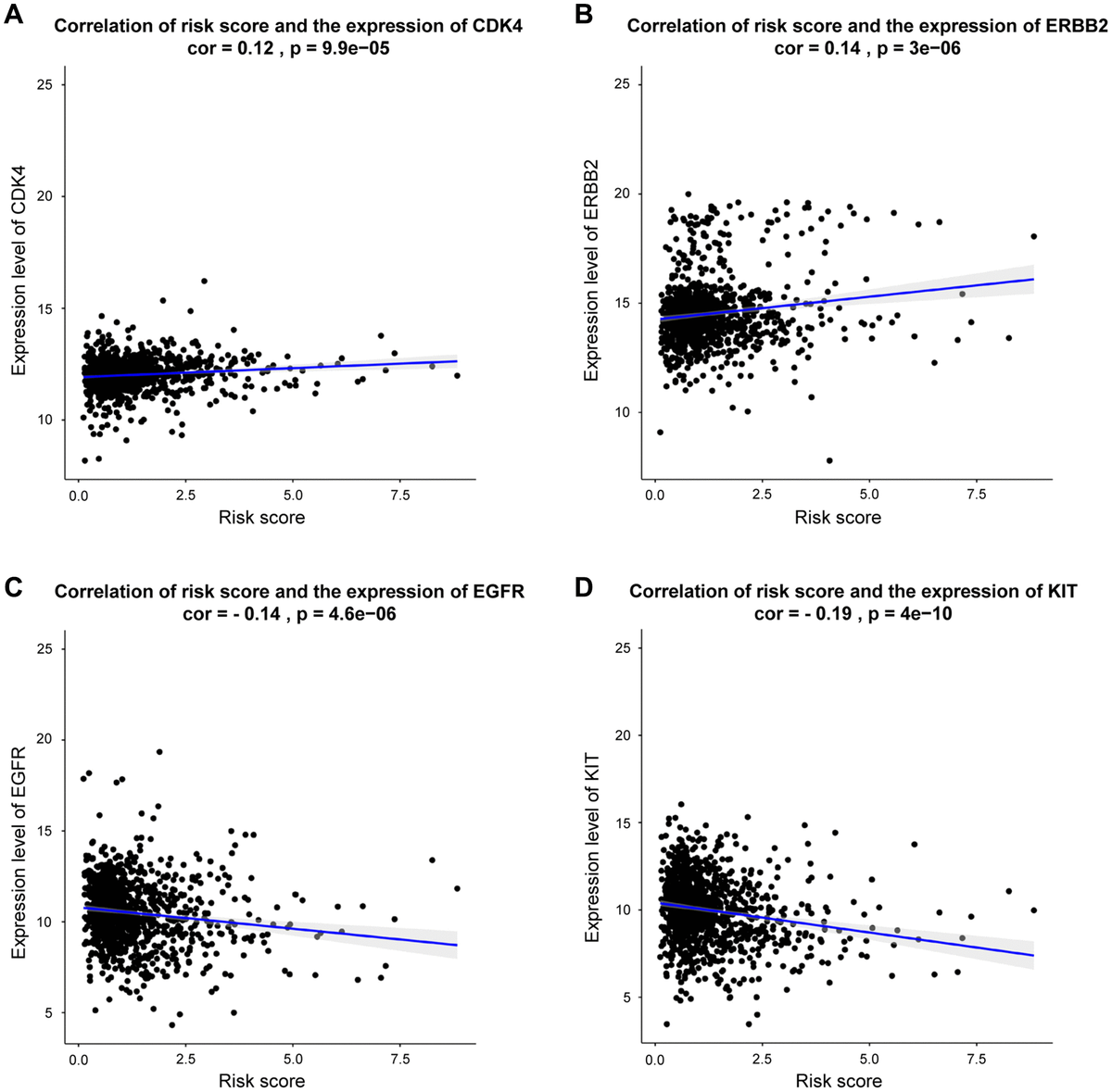
Figure 8. Correlation between risk score and genes expression for targeted treatment in BRCA. (AD) Correlation analysis shows the results of CDK4, ERBB2, EGFR, KIT, respectively.