Research Paper Volume 13, Issue 12 pp 16733—16748

Gut microbiota mediates cognitive impairment in young mice after multiple neonatal exposures to sevoflurane

class="figure-viewer-img"

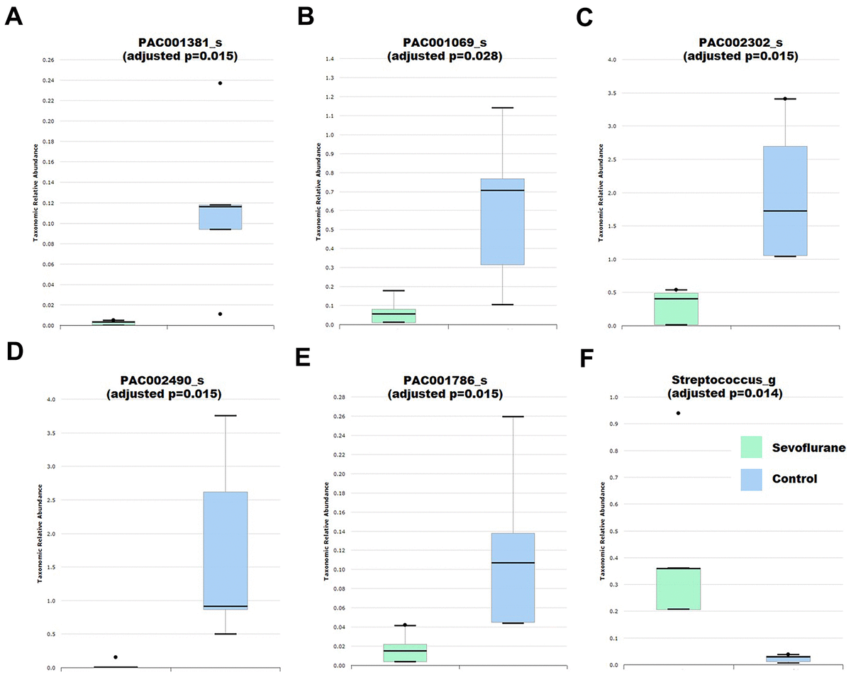
Figure 2. Differential abundance of gut bacteria between control (n = 5) and anesthesia (n = 4) mice. (A) Species PAC001381_s. (B) Species PAC001069_s. (C) Species PAC002302_s. (D) Species PAC002490_s. (E) Species PAC001786_s. (F) Genus Streptococcus. Taxa were assigned based on the PKSSU4.0 database implemented in the EzBioCloud platform.