Research Paper Volume 13, Issue 15 pp 19397—19414

Association between CTLA-4 gene polymorphism and risk of rheumatoid arthritis: a meta-analysis

class="figure-viewer-img"

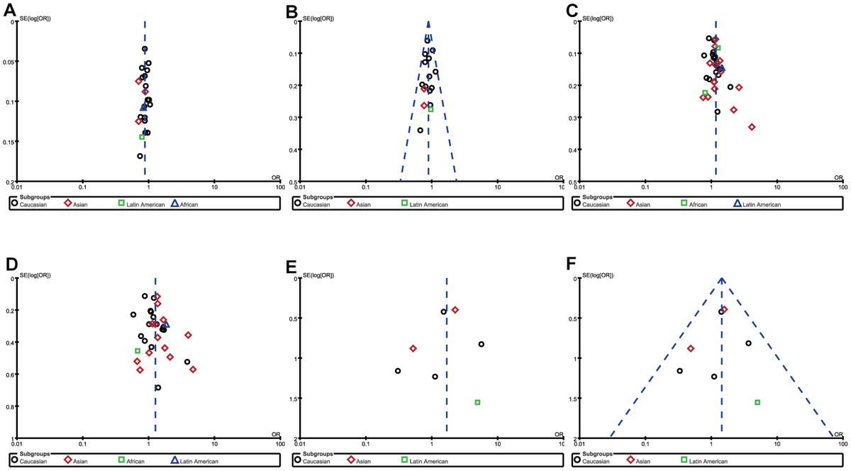
Figure 5. Funnel plot of the association between RA risk and rs308724 polymorphism under the allelic (A) and recessive model (B), rs231775 polymorphism under the allelic (C) and homozygous model (D), and rs574299 polymorphism under the homozygous (E) and recessive model (F).