Research Paper Volume 13, Issue 18 pp 22134—22147

Rutin inhibited the advanced glycation end products-stimulated inflammatory response and extra-cellular matrix degeneration via targeting TRAF-6 and BCL-2 proteins in mouse model of osteoarthritis

class="figure-viewer-img"

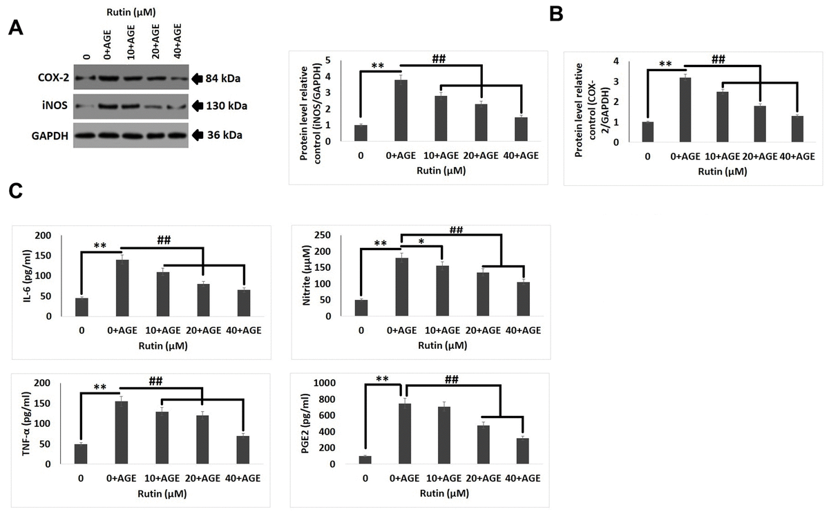
Figure 2. Rutin ameliorates AGE-induced inflammatory reaction in chondrocytes. (A, B) Western blot analysis for expression levels of COX-2 and iNOS in chondrocytes exposed AGE and various concentrations of Rutin. (C) Effect of treatment of Rutin on levels of IL-6, Nitrite, TNF-α and PGE2 at various concentrations. The results are mean ± SD. **P<0.01 compared to control, ##P<0.01 compared to AGE alone treated chondrocytes.