Research Paper Volume 13, Issue 23 pp 25004—25024

An efficient, non-invasive approach for in-vivo sampling of hair follicles: design and applications in monitoring DNA damage and aging

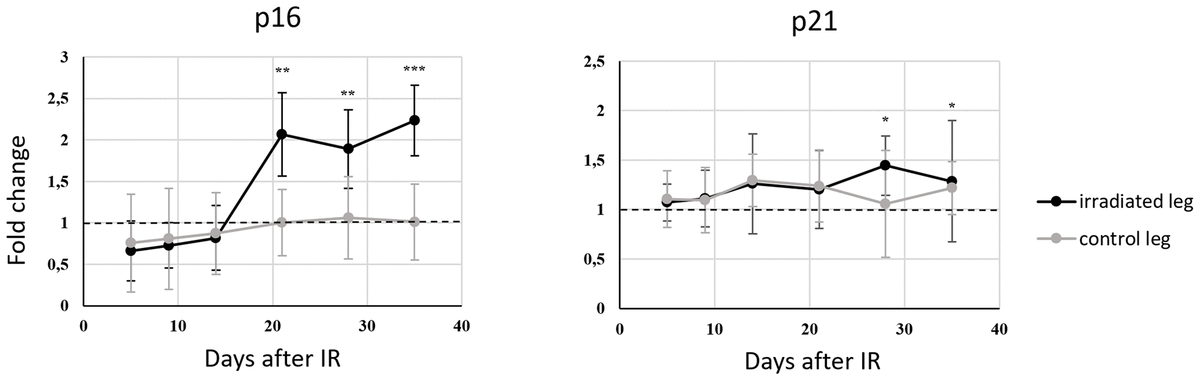
class="figure-viewer-img"

Figure 7. Changes with time in p16 and p21 gene expression (mRNA level) in murine hair follicles after a fractionated dose of 3 x 8 Gy applied in vivo to the right hind leg of a mouse, using each animal’s left hind leg as a control. Data are expressed as fold changes relative to expression at the zero-time point (shortly before irradiation) normalized using GAPDH mRNA levels. Means and standard deviations are shown. ΔCt values from certain time points were compared using paired t-tests and relevant time points on curves are marked with asterisks (* p<0.05, ** p<0.01 and***p<0.001).