Research Paper Volume 14, Issue 7 pp 3030—3048

Skin cutaneous melanoma properties of immune-related lncRNAs identifying potential prognostic biomarkers

class="figure-viewer-img"

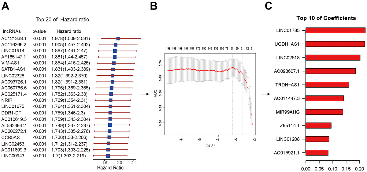
Figure 5. Lasso regression performed by Cox regression results. (A) The HR and p-value of selected lncRNAs with the top 20 of HR using the univariable Cox HR regression (p <0.001). (B) Cross-validation determined the optimal value of the penalty parameter (Lambda.min). Partial likelihood deviation curves were plotted against lambda. Dotted vertical lines were drawn at the optimal values by using the minimum criterion (left) and 1 standard error of the minimum criterion (1-SE criterion) (right). (C) The coefficients of selected lncRNAs with the top 10 of coefficients.