Research Paper Volume 15, Issue 13 pp 6179—6211

ZNF765 is a prognostic biomarker of hepatocellular carcinoma associated with cell cycle, immune infiltration, m6A modification, and drug susceptibility

class="figure-viewer-img"

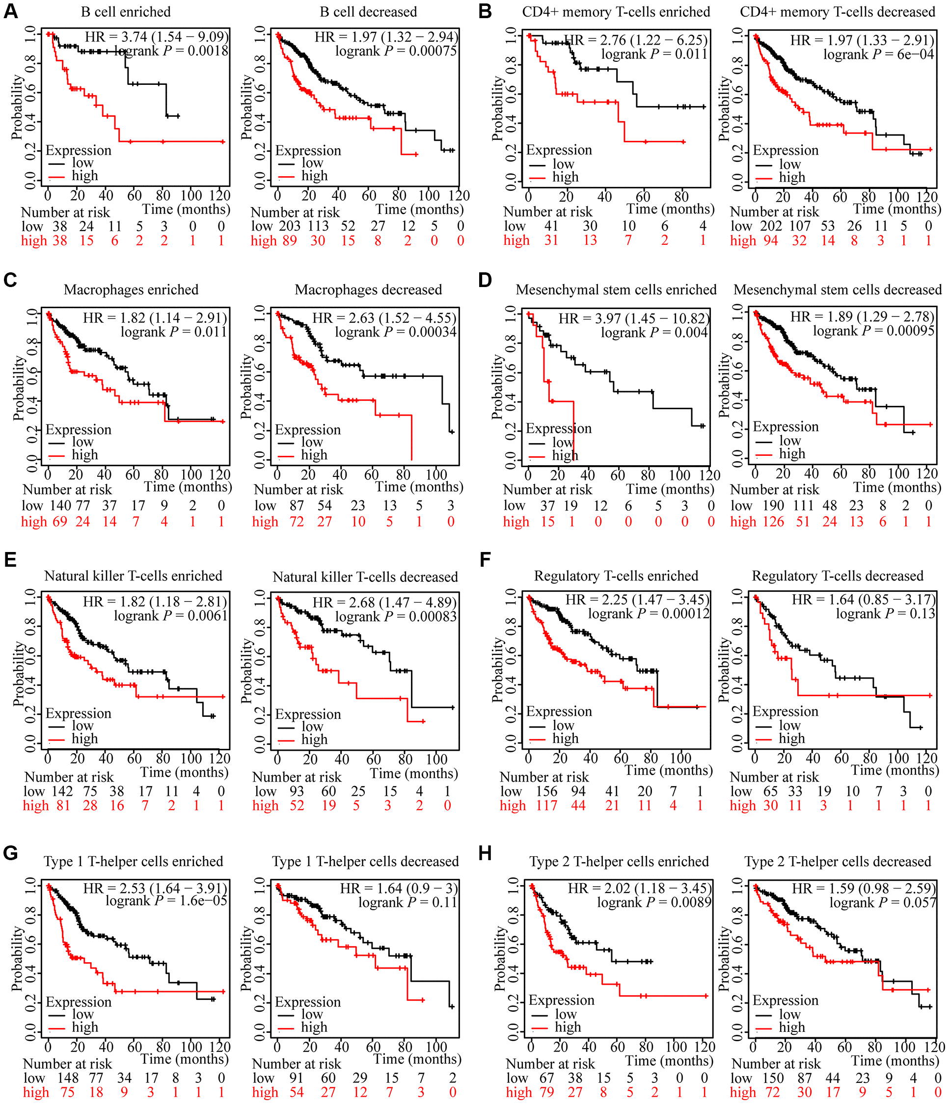
Figure 8. Kaplan-Meier survival curves according to high and low expression of ZNF765 in immune cell subgroups in HCC. (AH) Relationships between ZNF765 of different immune cell subgroups and prognoses in HCC.