Research Paper Volume 15, Issue 13 pp 6445—6466

A novel cuproptosis-related lncRNAs signature predicts prognosis in bladder cancer

class="figure-viewer-img"

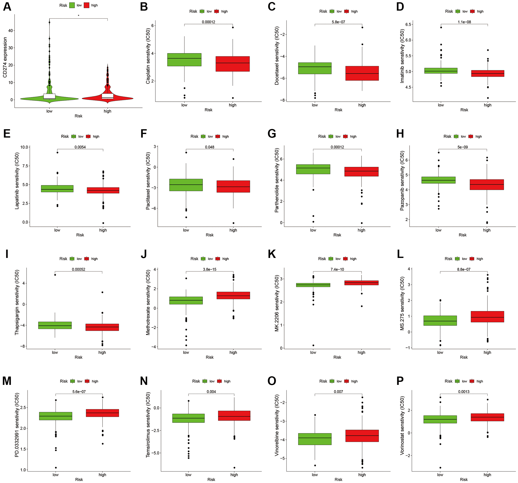
Figure 10. Comparison of treatment drugs sensitivity between high-risk and low-risk groups. (A) PD-L1 expression in high and low risk groups. (B) IC50 of cisplatin in high and low risk groups. (C) IC50 of docetaxel in high and low risk groups. (D) IC50 of imatinib in high and low risk groups. (E) IC50 of lapatinib in high and low risk groups. (F) IC50 of paclitaxel in high and low risk groups. (G) IC50 of parthenolide in high and low risk groups. (H) IC50 of pazopanib in high and low risk groups. (I) IC50 of thapsigargin in high and low risk groups. (J) IC50 of methotrexate in high and low risk groups. (K) IC50 of MK.2206 in high and low risk groups. (L) IC50 of MS.275 in high and low risk groups. (M) IC50 of PD.0332991 in high and low risk groups. (N) IC50 of temsirolimus in high and low risk groups. (O) IC50 of vinorelbine in high and low risk groups. (P) IC50 of vorinostat in high and low risk groups. Abbreviation: IC50: half-maximal inhibitory concentration.