Research Paper Volume 15, Issue 20 pp 10875—10896

Tissue immunoexpression of IL-6 and IL-18 in aging men with BPH and MetS and their relationship with lipid parameters and gut microbiota-derived short chain fatty acids

class="figure-viewer-img"

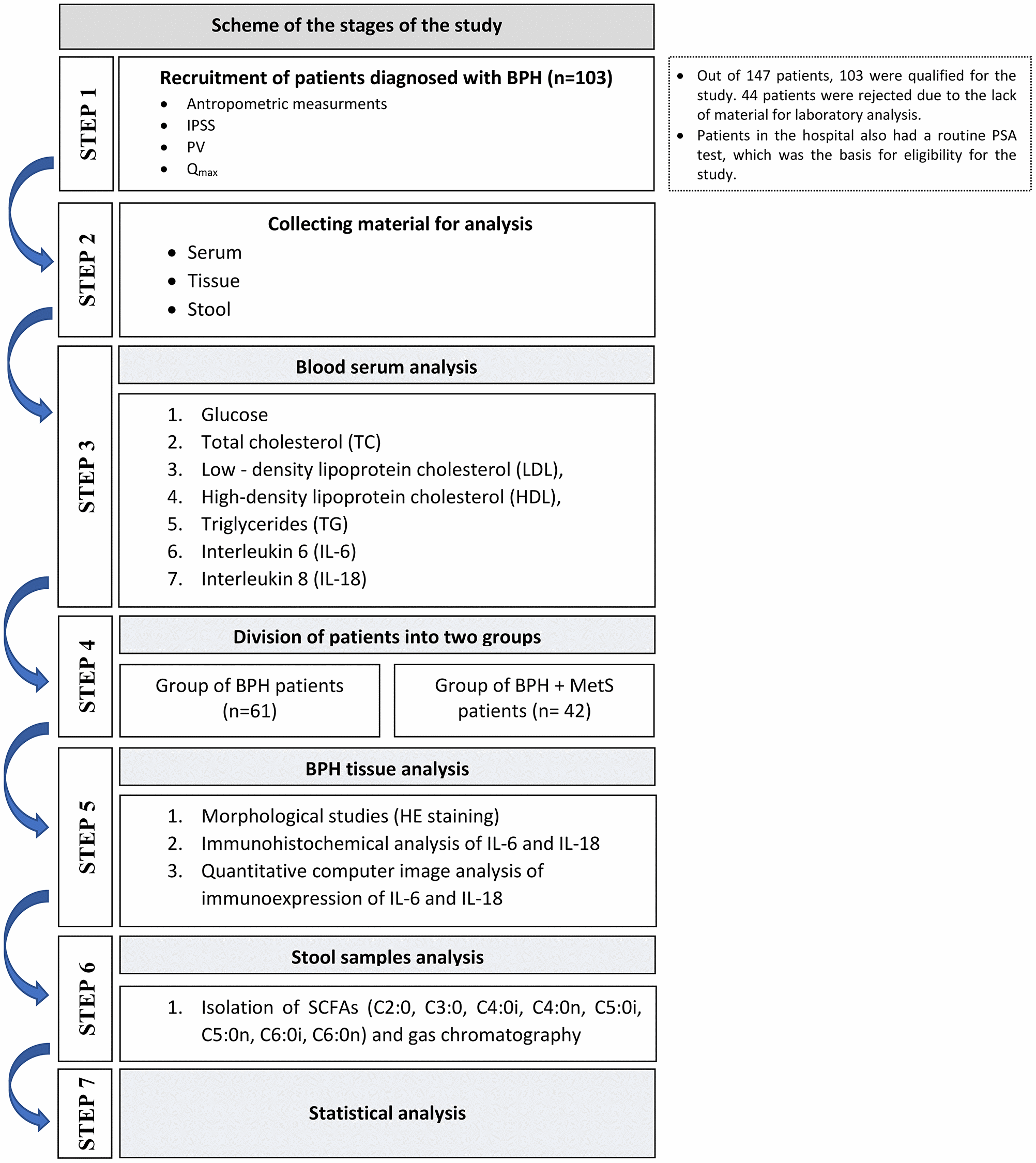
Figure 5. Study flow chart.