Research Paper Volume 15, Issue 20 pp 11092—11113

Identification and validation of a cancer-associated fibroblasts-related scoring system to predict prognosis and immune landscape in hepatocellular carcinoma through integrated analysis of single-cell and bulk RNA-sequencing

class="figure-viewer-img"

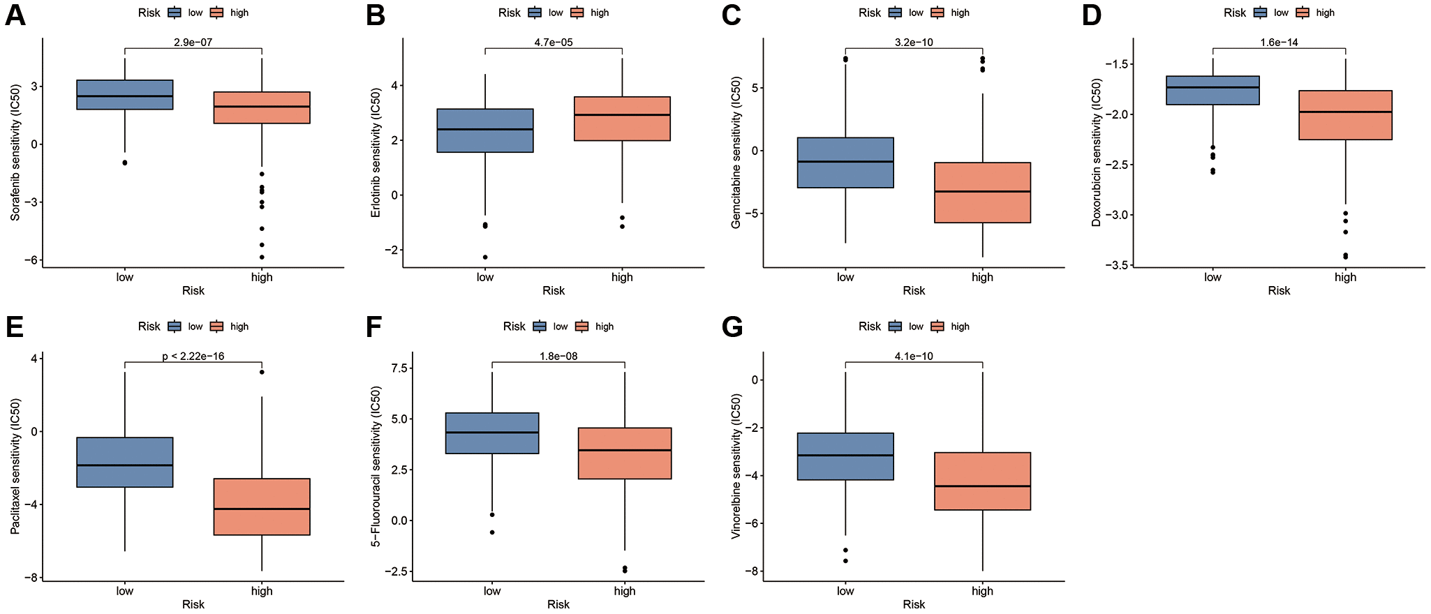
Figure 13. Drug sensitivity analysis based on the CAFRss. (AG) Box plots display the drugs with different IC50 values across the risk subgroups.