Research Paper Volume 16, Issue 4 pp 3803—3822

Mitochondrial-related genes PDK2, CHDH, and ALDH5A1 served as a diagnostic signature and correlated with immune cell infiltration in ulcerative colitis

class="figure-viewer-img"

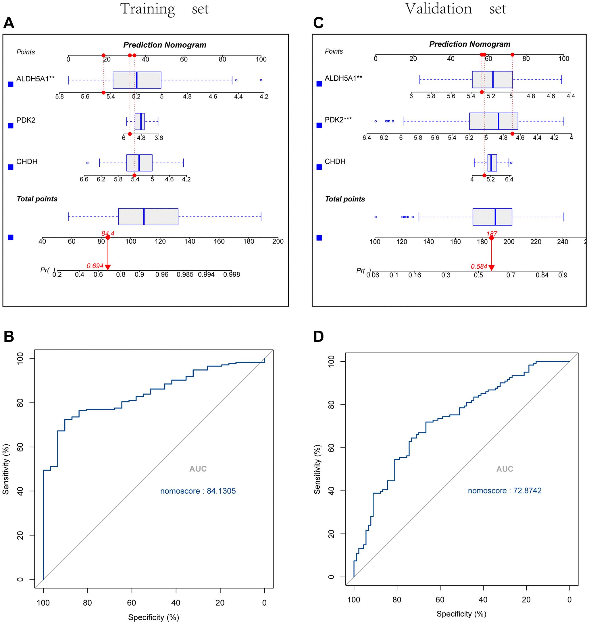
Figure 6. Construction and validation of the UC diagnostic column line graph model. (A, B) Column line graphs are utilized to predict the occurrence of UC in the training and validation cohorts. (C, D) ROC curves were created, with an area under the curve of 84.1305 in the training set and 72.8742 in the validation set.