Research Paper Volume 16, Issue 10 pp 8747—8771

Identification of a methyltransferase-related long noncoding RNA signature as a novel prognosis biomarker for lung adenocarcinoma

class="figure-viewer-img"

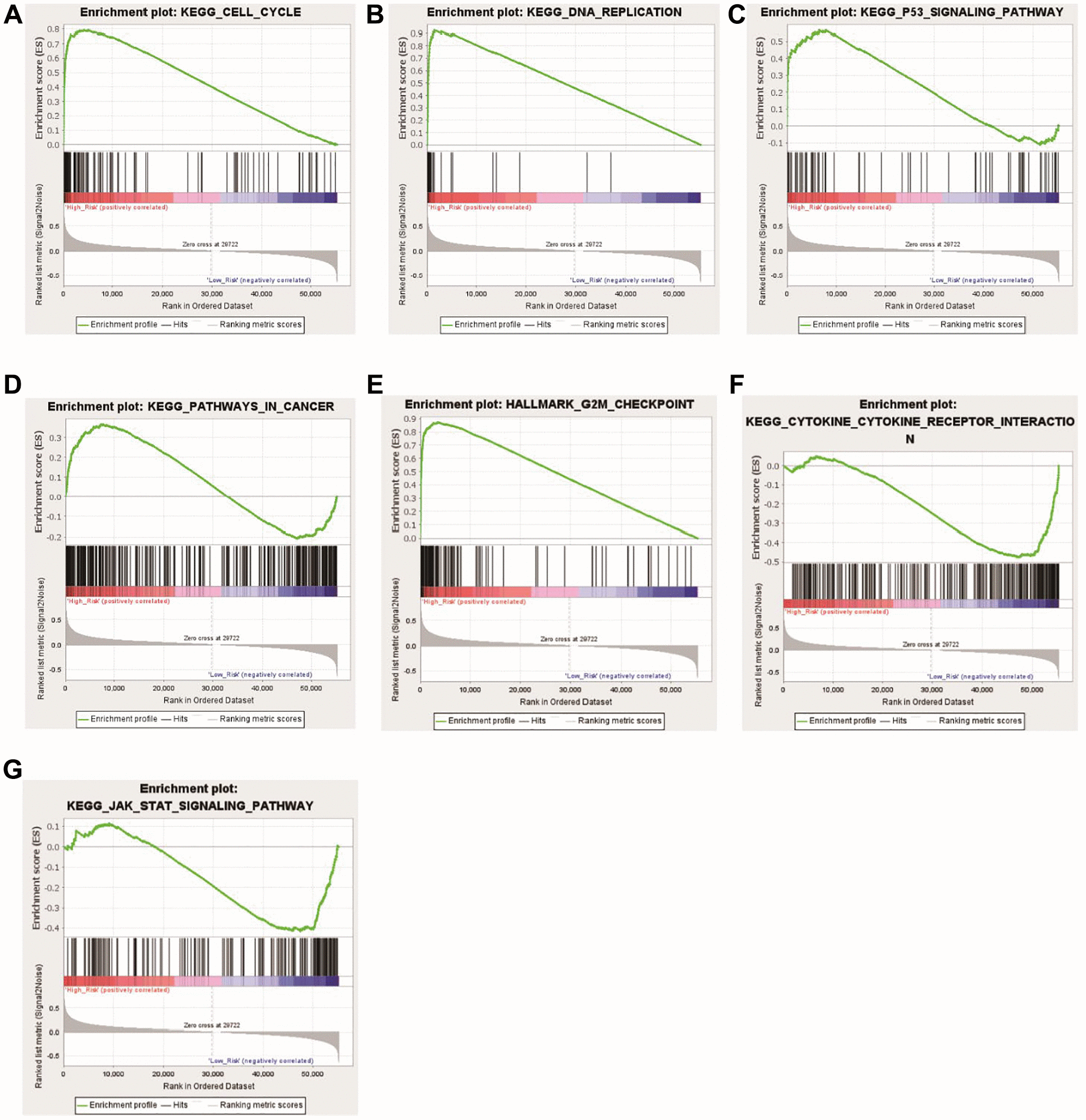
Figure 8. Functional enrichment analyses between the high- and low-risk groups. (A) KEGG_CELL_CYCLE; (B) KEGG_DNA_REPLICATIO; (C) KEGG_P53_SIGNALING_PATHWAY; (D) KEGG_PATHWAYS_IN_CANCER; (E) HALLMARK_G2M_CHECKPOINT; (F) KEGG_CYTOKINE_CYTOKINE_RECEPTOR_INTERACTION; (G) KEGG_JAK_STAT_SIGNALING_PATHWAY.