Research Paper Volume 11, Issue 18 pp 7525—7536

Identification of a novel microRNA recurrence-related signature and risk stratification system in breast cancer

class="figure-viewer-img"

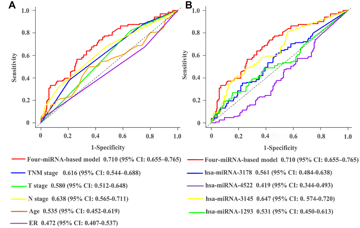
Figure 6. Comparisons of the predictive accuracy at 5-years DFS using time-dependent receiver operating characteristic curves in miRNA-based model with clinical risk factors (A), and miRNA-based model with single prognostic miRNA (B). DFS, disease-free survival.