Research Paper Volume 11, Issue 18 pp 7605—7619

Adherence to a healthy lifestyle counteracts the negative effects of risk factors on all-cause mortality in the oldest-old

class="figure-viewer-img"

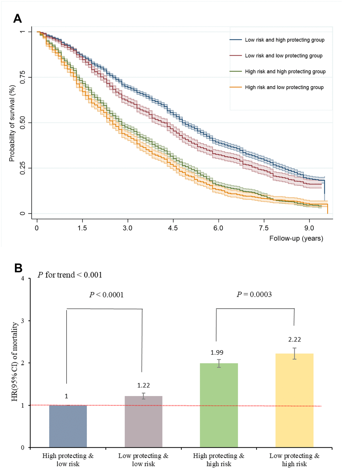
Figure 3. Adherence to healthy lifestyle can counteract the harmful effect of risk factors on mortality and prolong survival in oldest-old. (A) The Kaplan-Meier survival curves of combined risk and protecting factors; (B) The HRs of combined risk and protecting factors for mortality.