Research Paper Volume 12, Issue 8 pp 7334—7349

A novel dipeptide from potato protein hydrolysate augments the effects of exercise training against high-fat diet-induced damages in senescence-accelerated mouse-prone 8 by boosting pAMPK / SIRT1/ PGC-1α/ pFOXO3 pathway

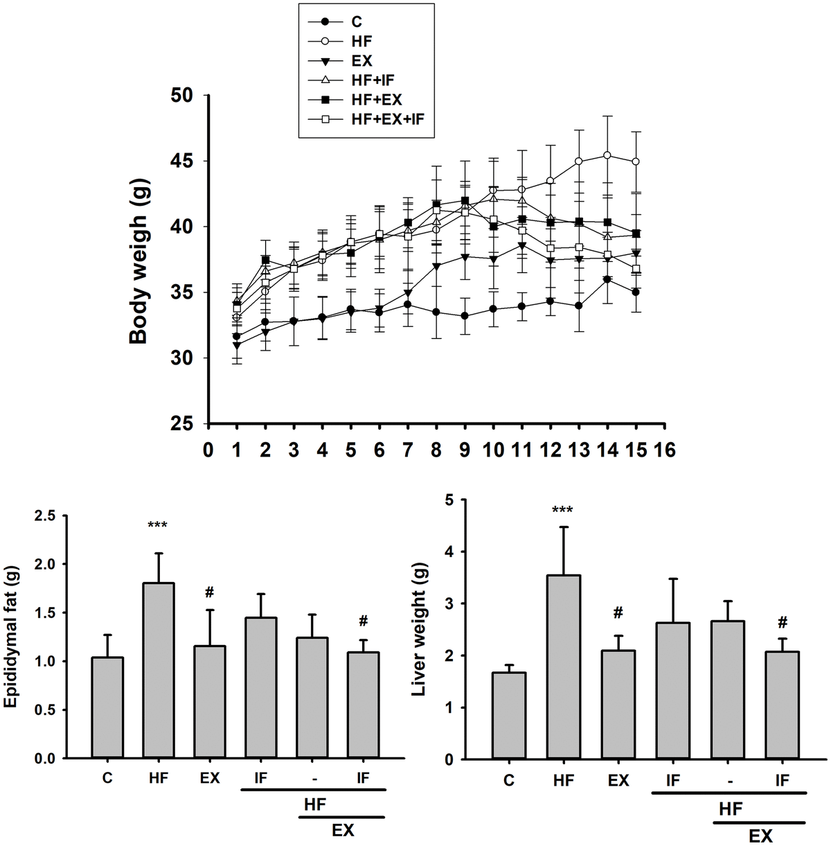
class="figure-viewer-img"

Figure 2. IF treatment with exercise training show better anti-obesity effects. Measurement on the Body Weight, Epididymal Fat Mass, and Liver Weight after IF administration and 15 weeks of exercise training show variation among SAMP8 mice from different group (n=6); C: Control; HF: High-fat diet; EX: Exercise; HF+IF: High-fat diet+IF; HF+EX: High-fat diet+ Exercise; HF+EX+IF: High-fat diet+ Exercise+ IF. Bars indicate the mean ± SEM obtained from experiments performed in triplicate. ***P<0.001 compared with the control group, #P<0.05 compared with the HF group.