Research Paper Volume 12, Issue 16 pp 16555—16578

Prognostic model of patients with liver cancer based on tumor stem cell content and immune process

class="figure-viewer-img"

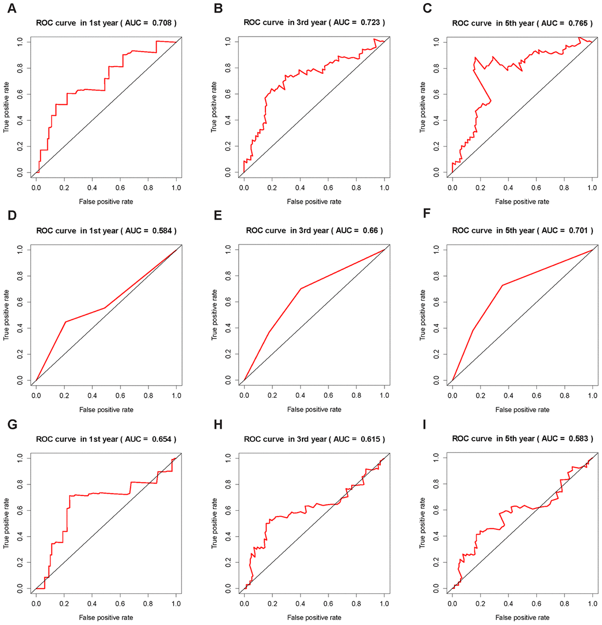
Figure 5. ROC curves of the ICRP score, AJCC stage, and ALBI score. The AUC value is in brackets. (AC) ROC curves of ICRP score’s forecast result after 1, 3, and 5 years in the test set. (DF) ROC curves of AJCC stage forecast result after 1, 3, and 5 years in the test set. (GI) ROC curves of ALBI score prediction results after 1, 3, and 5 years in the test set.