Research Paper Volume 12, Issue 17 pp 17647—17661

Identification and prognostic value of metabolism-related genes in gastric cancer

class="figure-viewer-img"

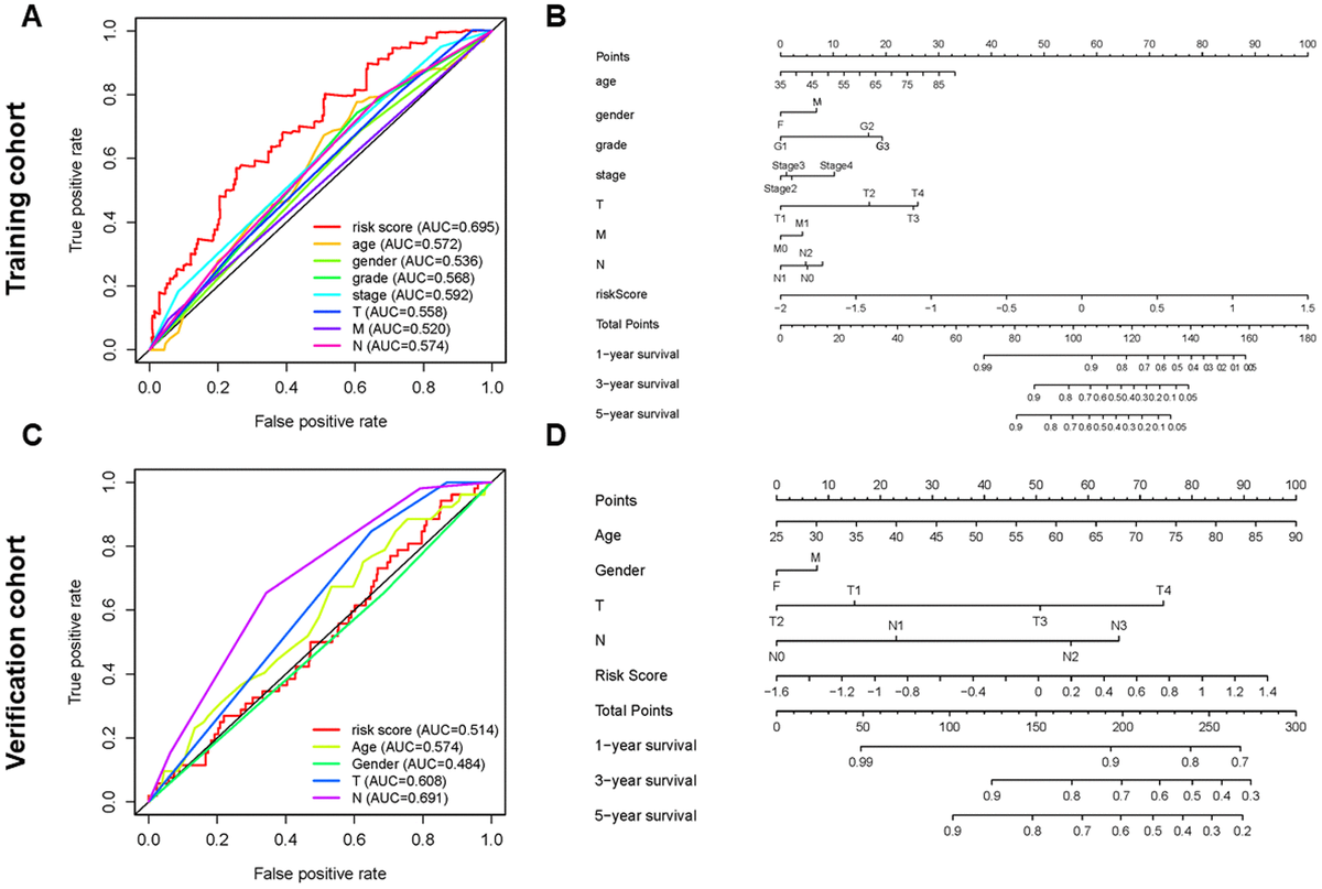
Figure 5. Establishment of ROC curves and nomograms. (A, C) ROC curves (receiver operating characteristics) of the risk score and other clinical indices. (B, D) The nomogram was established based on the independent prognosis model.