Research Paper Volume 13, Issue 3 pp 3483—3500

Estradiol is significantly associated with prognosis in non-surgical liver cancer patients: from bench to bedside

class="figure-viewer-img"

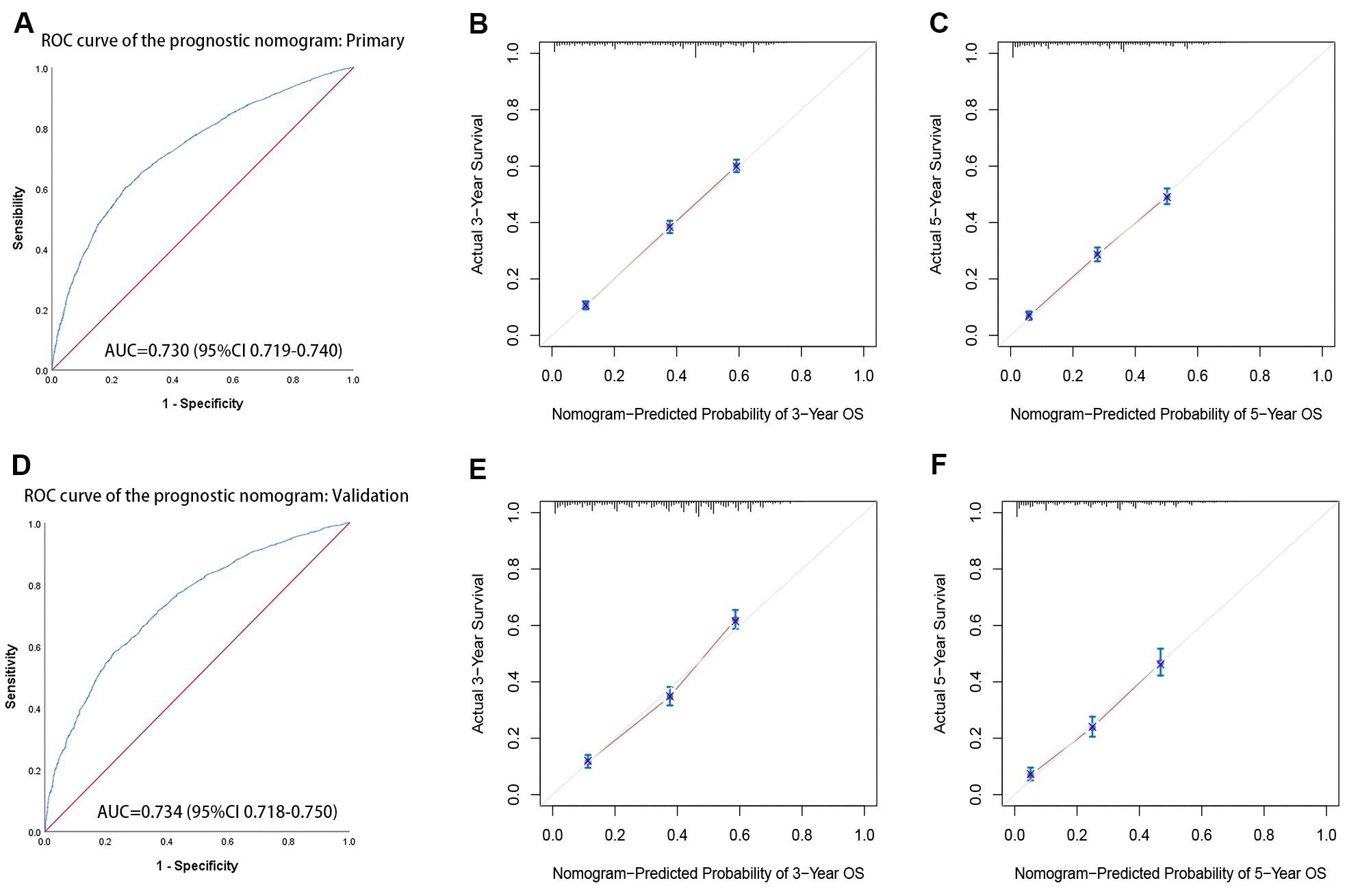
Figure 3. The receiver operating characteristic (ROC) curves and calibration curve of the prognostic nomogram. (A) ROC curves of the prognostic nomogram in the primary cohort. (B, C) The calibration curve of the nomogram-predicted probability in the primary cohort (3-year OS and 5-year OS, respectively). (D) ROC curves of the prognostic nomogram in the validation cohort. (E, F) The calibration curve of the nomogram-predicted probability in the validation cohort (3-year OS and 5-year OS, respectively). Age, sex, race, grade, tumor TNM stage, marital status, tumor size, and histological type are pooled in the primary(a) and validation(b) cohorts. AUC= area under the curve.