Research Paper Volume 13, Issue 13 pp 17789—17817

Bioinformatics analysis of the role of CXC ligands in the microenvironment of head and neck tumor

class="figure-viewer-img"

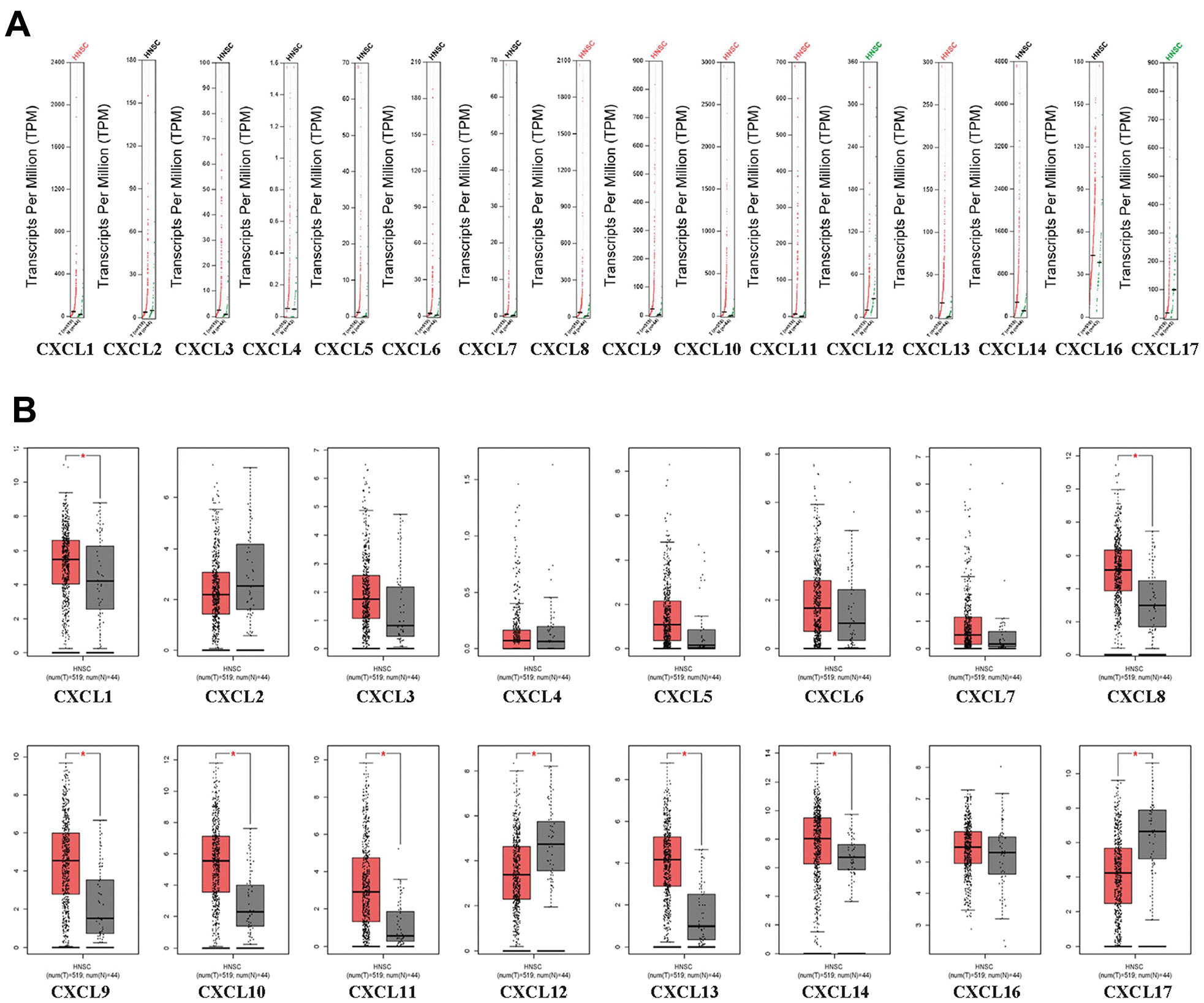
Figure 2. CXC-motif chemokine ligand (CXCL) expression in head and neck squamous cell carcinoma (HNSC). (A) Differential scatter diagram of CXCL expression in HNSC: red, upregulated; green, downregulated. (B) Differential box plot of CXCL expression in HNSC. *p < 0.05.