Research Paper Volume 15, Issue 6 pp 1890—1917

The study of antecedent clinical manifestations of hypertensive heart disease in cohort of hypertension

class="figure-viewer-img"

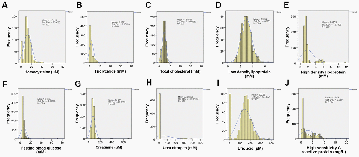
Figure 5. The examination of blood routine. The blood samples were collected and analyzed from hypertensive patients (n = 800). (A). Homocysteine; (B). Triglyceride; (C). Total cholesterol; (D). Low density lipoprotein; (E) High density lipoprotein; (F). Fasting blood glucose; (G). Creatinine; (H). Urea nitrogen; (I). Uric acid; (J). High sensitivity C reactive protein.