Research Paper Volume 15, Issue 7 pp 2721—2733

Pioglitazone reduces cardiovascular events and dementia but increases bone fracture in elderly patients with type 2 diabetes mellitus: a national cohort study

class="figure-viewer-img"

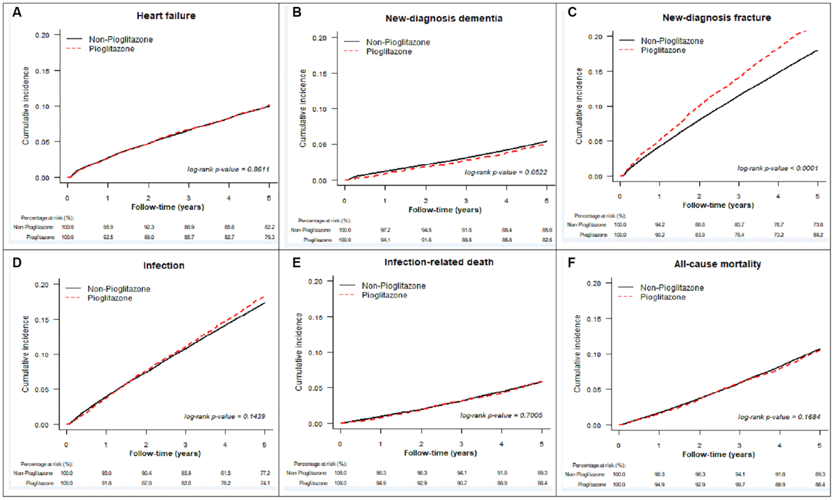
Figure 3. Cumulative incidence for other study outcomes after propensity score stabilizing weighting. (A) new-diagnosis heart failure, (B) new-diagnosis dementia, (C) new-diagnosis fracture, (D) infection, (E) infection-related death, and (F) all-cause mortality.